Lompat ke konten Lompat ke sidebar Lompat ke footer

Matrik Perkalian : Perkalian Matriks Pengertian Rumus Contoh Soal Dan Pembahasan : Akan dibuat dua buah matriks ukuran 2×2.

Matrik Perkalian : Perkalian Matriks Pengertian Rumus Contoh Soal Dan Pembahasan : Akan dibuat dua buah matriks ukuran 2×2.. Perkalian akan dilakukan pada kedua matriks tersebut. Matriks baris adalah matriks yang hanya mempunyai satu baris saja. Bentuk 2 a merepresentasikan perkalian konstanta dengan suatu matriks, yang disebut dengan perkalian skalar. Perkalian matriks dengan matrik dapat dilakukan dengan mengalikan setiap elemen baris pada matriks pertama dengan setiap elemen kolom pada matriks kedua. Dan selanjutnya baris kedua matrik a dengan matriks b kolom ke 2, selanjutnya begitu.

Selain perkalian matriks, kamu akan mempelajari operasi hitung matriks lainnya. Vengeance tamaka 25 nov 2015, 23:40:00 halo kak. Pada pelajaran matematika kelas 2 sma, perkalian matriks harus dipelajari. Website pribadi muhammad muntaza bin hatta, untuk menampung catatan harian yang bersifat teknis dan catatan non teknis lainnya. Pada pembahasan ini, kita akan membahas beberapa hal, yaitu:

Perkalian Skalar Matriks Dan Perkalian Matriks Dengan Ordo Sama Maupun Berbeda Kedai Mipa
Perkalian Skalar Matriks Dan Perkalian Matriks Dengan Ordo Sama Maupun Berbeda Kedai Mipa from 4.bp.blogspot.com
Matriks persegi dengan ukuran 3 x 3 memiliki 9 anggota, yang terbagi dalam 3 baris dan 3 kolom. Sedangkan bentuk ab merepresentasikan perkalian dari dua matriks. Matriks persegi yaitu suatu matriks yang punya banyak baris dan jumlah kolom yang sama. A0 = 0a = a. Coba selesaikan soal perkalian matriks 2x2 di bawah ini dengan mengikuti cara perkalian yang tergambar di skema perkalian antar matik dan mengikuti kaidah matriks. Jika matriks a dikali dengan bilangan r, maka. Matriks baris adalah matriks yang hanya mempunyai satu baris saja. Operasi hitung pada matriks meliputi operasi penjumlahan, pengurangan, dan perkalian matriks, perkalian matriks yang akan diulas adalah perkalian matriks dengan skalar dan operasi hitung perkalian antar dua matriks, serta sifatnya.

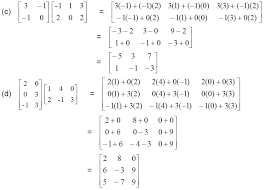
Untuk mencari suku pada kanan atas hasil perkalian matriks, carilah saja hasil perkalian titik (dot) dari baris atas matriks a dan kolom kanan matriks b.

Jika sebelumnya kita sudah tahu bahwa penjumlahan dan pengurangan matriks adalah sebuah topik yang sangat penting, maka perkalian matriks merupakan topik yang tidak kalah penting. Jika matriks a dikali dengan bilangan r, maka. Ada beberapa tutorial tentang matriks yang disajikan oleh imath tutorial. Pada dasarnya matriks persegi memiliki ordo n x n. Misalkan terdapat dua buah matrik yaitu matriks a dan matriks b. Perkalian matriks dengan matrik dapat dilakukan dengan mengalikan setiap elemen baris pada matriks pertama dengan setiap elemen kolom pada matriks kedua. A0 = 0a = a. Video tutorial (imath tutorial) ini memberikan materi tentang matriks. Pada umumnya, ordo dari matriks baris berbentuk 1 x n dengan n menentukan banyak kolom dari matriks baris tersebut. Website pribadi muhammad muntaza bin hatta, untuk menampung catatan harian yang bersifat teknis dan catatan non teknis lainnya. Ika yunida anggraini 6 oct 2015, 12:33:00 bang itu di bagian perkalian matriks, 'k' itu apa ya? Operasi hitung pada matriks meliputi operasi penjumlahan, pengurangan, dan perkalian matriks, perkalian matriks yang akan diulas adalah perkalian matriks dengan skalar dan operasi hitung perkalian antar dua matriks, serta sifatnya. Tentu saja prosesnya panjang, apalagi jika matriks yang kita kalikan ukurannya lebih besar dari 2x2, misalkan 3x3, 4x4, dll, tentu saja prosesnya…

Dan selanjutnya baris kedua matrik a dengan matriks b kolom ke 2, selanjutnya begitu. Selain membahas tentang rumus perkalian matriks kami juga akan membahas secara singkat rumus perkalian skalar matriks, untuk lebih jelasnya silahkan simak penjabaran. Operasi hitung pada matriks meliputi operasi penjumlahan, pengurangan, dan perkalian matriks, perkalian matriks yang akan diulas adalah perkalian matriks dengan skalar dan operasi hitung perkalian antar dua matriks, serta sifatnya. Website pribadi muhammad muntaza bin hatta, untuk menampung catatan harian yang bersifat teknis dan catatan non teknis lainnya. Jika dan bilangan r = 2, maka:

Perkalian Matriks 3 3 Menggunakan Python Daspro
Perkalian Matriks 3 3 Menggunakan Python Daspro from student.blog.dinus.ac.id
Jika sebelumnya kita sudah tahu bahwa penjumlahan dan pengurangan matriks adalah sebuah topik yang sangat penting, maka perkalian matriks merupakan topik yang tidak kalah penting. Video tutorial (imath tutorial) ini memberikan materi tentang matriks. Selain itu, dengan mengikuti kaidah tersebut, kamu bisa lebih mudah mengerjakan perkalian matriks 2x2. Apabila matriks a dikali dengan bilangan r, maka r.a = (r.a ij) sebagai contoh: Pada umumnya, ordo dari matriks baris berbentuk 1 x n dengan n menentukan banyak kolom dari matriks baris tersebut. Pada dasarnya matriks persegi memiliki ordo n x n. Matriks baris adalah matriks yang hanya mempunyai satu baris saja. Operasi hitung pada matriks meliputi operasi penjumlahan, pengurangan, dan perkalian matriks, perkalian matriks yang akan diulas adalah perkalian matriks dengan skalar dan operasi hitung perkalian antar dua matriks, serta sifatnya.

Matriks persegi dengan ukuran 3 x 3 memiliki 9 anggota, yang terbagi dalam 3 baris dan 3 kolom.

Matriks persegi dengan ukuran 3 x 3 memiliki 9 anggota, yang terbagi dalam 3 baris dan 3 kolom. Akan dibuat dua buah matriks ukuran 2×2. Syarat dua buah matriks, misal matriks a dan matriks b, dapat dikalikan adalah jika banyaknya kolom matriks a sama dengan banyaknya baris matriks b. Vengeance tamaka 25 nov 2015, 23:40:00 halo kak. Berbeda dengan perkalian skalar yang hanya mengalikan setiap elemen matriks dengan bilangan skalar, perkalian dua matriks memiliki aturan tersendiri. Coba selesaikan soal perkalian matriks 2x2 di bawah ini dengan mengikuti cara perkalian yang tergambar di skema perkalian antar matik dan mengikuti kaidah matriks. Bentuk 2 a merepresentasikan perkalian konstanta dengan suatu matriks, yang disebut dengan perkalian skalar. Pada pelajaran matematika kelas 2 sma, perkalian matriks harus dipelajari. Apabila matriks a dikali dengan bilangan r, maka r.a = (r.a ij) sebagai contoh: A0 = 0a = a. Perkalian matriks dapat dilakukan jika ukuran kolom matriks pertama sama dengan ukuran baris matriks kedua (banyak kolom matriks pertama = banyak baris. Selain membahas tentang rumus perkalian matriks kami juga akan membahas secara singkat rumus perkalian skalar matriks, untuk lebih jelasnya silahkan simak penjabaran. Matriks persegi yaitu suatu matriks yang punya banyak baris dan jumlah kolom yang sama.

Selain itu, dengan mengikuti kaidah tersebut, kamu bisa lebih mudah mengerjakan perkalian matriks 2x2. Perkalian akan dilakukan pada kedua matriks tersebut. Jika matriks a dikali dengan bilangan r, maka. Tentu saja prosesnya panjang, apalagi jika matriks yang kita kalikan ukurannya lebih besar dari 2x2, misalkan 3x3, 4x4, dll, tentu saja prosesnya… Ika yunida anggraini 6 oct 2015, 12:33:00 bang itu di bagian perkalian matriks, 'k' itu apa ya?

6 Tentukanlah Hasil Perkalian Dari Matriks Begin Gauthmath
6 Tentukanlah Hasil Perkalian Dari Matriks Begin Gauthmath from wb-qb-sg-oss.bytededu.com
Perkalian matriks dengan bilangan bulat. Matriks persegi dengan ukuran 3 x 3 memiliki 9 anggota, yang terbagi dalam 3 baris dan 3 kolom. Perkalian matriks dapat dilakukan jika ukuran kolom matriks pertama sama dengan ukuran baris matriks kedua (banyak kolom matriks pertama = banyak baris. Selain membahas tentang rumus perkalian matriks kami juga akan membahas secara singkat rumus perkalian skalar matriks, untuk lebih jelasnya silahkan simak penjabaran. Pada umumnya, ordo dari matriks baris berbentuk 1 x n dengan n menentukan banyak kolom dari matriks baris tersebut. Oleh sebab itu pengalian matriks merupakan operasi. Ada beberapa tutorial tentang matriks yang disajikan oleh imath tutorial. Pada pelajaran matematika kelas 2 sma, perkalian matriks harus dipelajari.

A0 = 0a = a.

Misalkan terdapat dua buah matrik yaitu matriks a dan matriks b. Tentu saja prosesnya panjang, apalagi jika matriks yang kita kalikan ukurannya lebih besar dari 2x2, misalkan 3x3, 4x4, dll, tentu saja prosesnya… Perkalian matriks dengan bilangan bulat. Perkalian akan dilakukan pada kedua matriks tersebut. Dan selanjutnya baris kedua matrik a dengan matriks b kolom ke 2, selanjutnya begitu. Hal ini dikarenakan ukuran matriks 3 x 3 mempunyai jumlah anggota lebih banyak. Matriks persegi yaitu suatu matriks yang punya banyak baris dan jumlah kolom yang sama. Pada umumnya, ordo dari matriks baris berbentuk 1 x n dengan n menentukan banyak kolom dari matriks baris tersebut. Ika yunida anggraini 6 oct 2015, 12:33:00 bang itu di bagian perkalian matriks, 'k' itu apa ya? Syarat dua buah matriks, misal matriks a dan matriks b, dapat dikalikan adalah jika banyaknya kolom matriks a sama dengan banyaknya baris matriks b. Matriks merupakan susunan dari berbagai bilangan yang berbentuk persegi panjang atau persegi dalam baris dan kolom. Berbeda dengan perkalian skalar yang hanya mengalikan setiap elemen matriks dengan bilangan skalar, perkalian dua matriks memiliki aturan tersendiri. Perkalian matriks 3 x 3 sedikit lebih rumit dari perkalian matriks 2 x 2.

Posting Komentar untuk "Matrik Perkalian : Perkalian Matriks Pengertian Rumus Contoh Soal Dan Pembahasan : Akan dibuat dua buah matriks ukuran 2×2."